Verification - Calibrated Explosives

Introduction

This document presents the verification of the calibrated explosives available in the software.

There are currently 16 calibrated explosives available in the software and additional compositions are added on request from users.

Version control

The tests presented in this document are subjected to version control, meaning that the models are run and evaluated prior to release of a new solver. This document is updated in conjunction with official releases of the software.

Verification - Calibrated Explosives

Calibrated explosives

The following explosives are available in both the Discrete particle (DP) module and the Computational Fluid Dynamics (CFD) module:

ANFO C4
COMP. A-3 COMP. B (grade A)
HMX LX-10-1
LX-14-0 MCX-6100
NSP-711 OCTOL 78-22
PBXN-110 PBXN-9010
PETN TETRYL
TNT m/46

Calibrated explosives are included in an analysis with the command *PARTICLE_HE or *CFD_HE.

Modelling of explosives in the DP module

Explosives are defined by the following parameters:

$\rho_0$ - Density of undetonated composition
$e_0$ - Energy per unit volume
$\gamma$ - Fraction between $C_p$ and $C_v$ at zero co-volume (ideal gas regime)
$v$ - Co-volume at $\rho = \rho_0$
$D$ - Detonation velocity

$\rho_0$, $e_0$ and $D$ are found in literature whereas $\gamma$ and $v$ must be calibrated to the DP module. The calibration was done with the model described in section "Controlled expansion test". Parametric values used for the calibrated explosives are presented in Table 1.

Explosive $\rho_0 \ [kg/m^3]$ $e_0 \ [GPa \ m^3/m^3]$ $\gamma \ [-]$ $v \ [-]$ $D \ [m/s]$ ref
ANFO 782 2.9 1.280 0.235 5000 2
C4 1601 9.0 1.270 0.347 8193 1
COMP. A-3 1650 8.9 1.442 0.259 8300 1
COMP. B (grade A) 1717 8.5 1.428 0.270 7980 1
HMX 1891 10.5 1.345 0.334 9110 1
LX-10-1 1865 10.4 1.606 0.211 8820 1
LX-14-0 1835 10.2 1.576 0.222 8800 1
MCX-6100 1710 7.6 1.404 0.262 7486 3
NSP-711, m/46 1500 7.05 1.315 0.308 7680 4
OCTOL 78-22 1821 9.6 1.598 0.210 8480 1
PBXN-110 1672 8.7 1.375 0.283 8330 5
PBXN-9010 1787 9.0 1.451 0.276 8390 1
PETN 1770 10.1 1.621 0.188 8300 1
TETRYL 1730 8.2 1.442 0.265 7910 1
TNT 1630 7.0 1.299 0.315 6930 1
Table 1. Explosives and associated values of the parameters.

The object "Controlled expansion test" available on IMPETUS Market allows for users to calibrate other explosives to the DP module.

Modelling of explosives in the CFD and FE modules

Explosives are defined by the following parameters:

$\rho_0$ - Density of undetonated composition
$e_0$ - Energy per unit volume
$D$ - Detonation velocity
$A$, $B$, $R_1$, $R_2$ and $\omega$ - JWL coefficients

$\rho_0$, $e_0$ and $D$ are set in accordance with Table 1, whereas the parameters for the Jones-Wilkins-Lee (JWL) equation of state are set as presented in Table 2.

The JWL equation of state is defined as:

$$ P = A\left(1-\frac{\omega}{R_1 V}\right) e^{-R_1 V} + B\left(1-\frac{\omega}{R_2 V}\right)e^{-R_2 V} + \frac{\omega e_0}{V} $$

$P$ - Pressure
$V$ - Ratio volume detonation products and volume undetonated explosive
Explosive $A \ [GPa]$ $B \ [GPa]$ $R_1 \ [-]$ $R_2 \ [-]$ $\omega \ [-]$ ref
ANFO 75.2 -0.82 4.1 1.25 0.44 2
C4 609.8 12.95 4.5 1.4 0.25 1
COMP. A-3 611.3 10.65 4.4 1.2 0.32 1
COMP. B (grade A) 524.2 7.68 4.2 1.1 0.34 1
HMX 778.3 7.07 4.2 1.0 0.30 1
LX-10-1 880.7 18.36 4.62 1.32 0.38 1
LX-14-0 826.1 17.24 4.55 1.32 0.38 1
MCX-6100 759.8 7.0 4.88 1.10 0.35 3
NSP-711, m/46 759.9 12.56 5.1 1.5 0.29 4
OCTOL 78-22 748.6 13.38 4.5 1.2 0.38 1
PBXN-110 950.4 10.98 5.0 1.4 0.40 5
PBXN-9010 581.4 6.8 4.1 1.0 0.35 1
PETN 617.0 16.93 4.4 1.2 0.25 1
TETRYL 586.8 10.67 4.4 1.2 0.28 1
TNT 371.2 3.23 4.15 0.95 0.30 1
Table 2. Explosives and associated values of the JWL coefficients.
Controlled expansion test

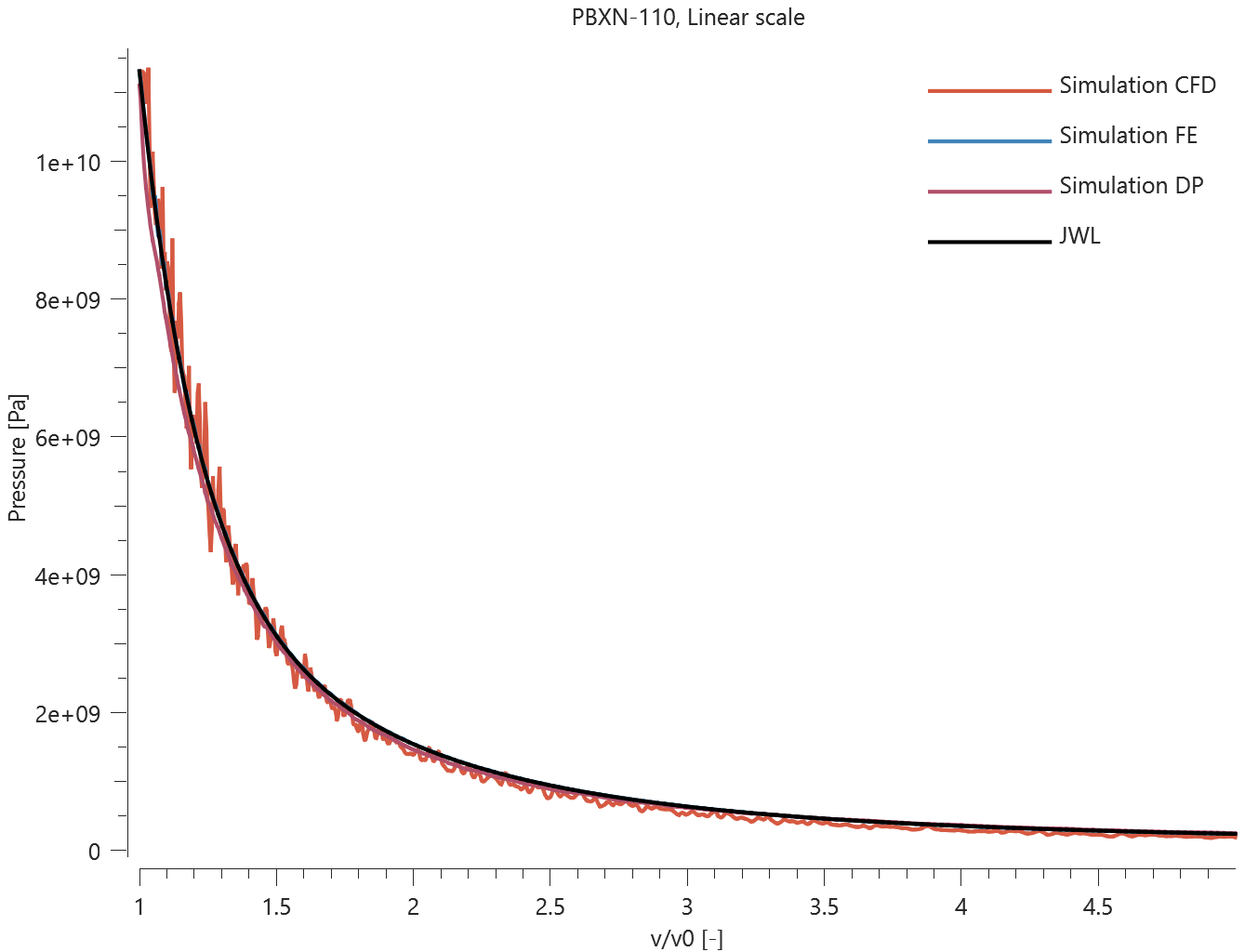
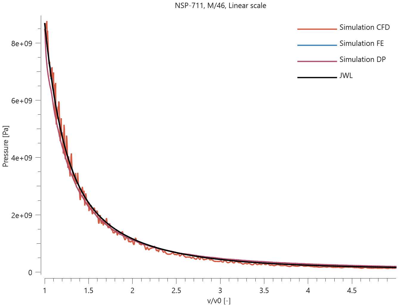
The model consists of the explosive under consideration, detonated inside a confined volume as visible in Figure 1. The confined volume is increased gradually in a prescribed manner from 1.0 to 5.0 times the volume of the undetonated charge. A sensor is positioned in the explosive and the pressure in this sensor is compared to the pressure obtained from the JWL equation of state.

Parameter $\gamma$ and $v$ are calibrated so that the pressure in the sensor match the pressure from the JWL equation of state for the investigated expansion.

figure_1_verification_of_explosives
Figure 1. The confined volume is increased gradually from the initial state (to the left) to the final state (to the right).

The pressure from the sensor and the pressure obtanied from the JWL equation of state for all calibrated explosives, modeled using both the DP module and CFD module are presented in Figure 2 - 16. The left plot in these Figures shows the pressure with linear scale whereas the right plot shows the pressure with logarithmic scale.

ANFO_linear_scale ANFO_logarithmic_scale
Figure 2. Results from the controlled expansion test with calibrated ANFO.
C4_linear_scale C4_logarithmic_scale
Figure 3. Results from the controlled expansion test with calibrated C4.
COMP_A-3_linear_scale COMP_A-3_logarithmic_scale
Figure 4. Results from the controlled expansion test with calibrated COMP. A-3.
COMP_B_linear_scale COMP_B_logarithmic_scale
Figure 5. Results from the controlled expansion test with calibrated COMP. B (grade A).
HMX_linear_scale HMX_logarithmic_scale
Figure 6. Results from the controlled expansion test with calibrated HMX.
LX-10-1_linear_scale LX-10-1_logarithmic_scale
Figure 7. Results from the controlled expansion test with calibrated LX-10-1.
LX-14-0_linear_scale LX-14-0_logarithmic_scale
Figure 8. Results from the controlled expansion test with calibrated LX-14-0.
MCX-6100_linear_scale MCX-6100_logarithmic_scale
Figure 9. Results from the controlled expansion test with calibrated MCX-6100.
NSP-711_linear_scale NSP-711_logarithmic_scale
Figure 10. Results from the controlled expansion test with calibrated NSP-711, m/46.
OCTOL_78-22_linear_scale OCTOL_78-22_logarithmic_scale
Figure 11. Results from the controlled expansion test with calibrated OCTOL_78-22.
PBXN-110_linear_scale PBXN-110_logarithmic_scale
Figure 12. Results from the controlled expansion test with calibrated PBXN-110.
PBXN-9010_linear_scale PBXN-9010_logarithmic_scale
Figure 13. Results from the controlled expansion test with calibrated PBXN-9010.
PETN_linear_scale PETN_logarithmic_scale
Figure 14. Results from the controlled expansion test with calibrated PETN.
TETRYL_linear_scale TETRYL_logarithmic_scale
Figure 15. Results from the controlled expansion test with calibrated TETRYL.
TNT_linear_scale TNT_logarithmic_scale
Figure 16. Results from the controlled expansion test with calibrated TNT.

References

[1] - B. M. Dobratz, P. C. Crawford, LLNL Explosives Handbook - Properties of Chemical Explosives and Explosive Simulants, Lawrence Livermore National Laboratory, 1985.

[2] - L. Penn, F. Helm, M. Finger, E. Lee, Determination of Equation-of-State Parameters for Four Type of Explosive, Lawrence Livermore Laboratory, 1975.

[3] - G. O. Nevstad, Determination of detonation velocity and pressure for MCX-6100, FFI-rapport 2015/02323, 2015.

[4] - A. Helte, J. Lundgren, H. Örnhed, M. Norrefeldt, Evaluation of performance of m/46, FOI-R--2051--SE, 2006.

[5] - O. Ayisit, The influence of asymmetries in shaped charge performance, International Journal of Impact Engineering, volume 35, pages: 1399 - 1404, 2008.




Tests

This benchmark is associated with 16 tests.